ROE나 ROIC 같은 자본수익률에 대해 최근 공부한 것들을 곱씹어 보다가, 자사주 매입(공시 용어와의 혼동을 방지하기 위해 이하 “자기주식 취득”이라 한다)이 대표적으로 ROE에 끼치는 영향에 대해 생각해 봤다.
회사가 자기주식을 취득하면 일반적으로는 자본총계를 구성하는 계정과목 중 ‘기타자본조정’이라는 항목에 음수가 기록되면서 자본총계가 줄어든다. 그러면 똑같은 순이익에 대해 분모가 될 자본총계가 감소하게 되니까 ROE는 당연히 커질 것으로 쉽게 유추할 수 있다.
EPS와 BPS로 분리해서 생각해볼 수도 있다. 먼저, 순이익을 유통주식 수로 나누는 EPS의 경우, 분모가 줄어들면서 전체 값이 커지는 것은 자명하다.
현재 순이익을 R, 발행주식 수를 a라고 하자. 자기주식을 수량 b만큼 취득하면 유통주식 수는 a-b가 되고, R/a이던 EPS가 자기주식 취득 후에는 R/(a-b)로 바뀐다.
BPS는 분모가 유통주식 수가 아닌 발행주식 수다. 자기주식을 취득해도 분모는 달라지지 않는다. 대신 분자의 자본총계가 자기주식을 사들인 금액만큼 줄어들면서 전체 값이 작아진다. 분모는 작아지고 분자는 커지면서 이들 사이의 백분율인 ROE가 증가한다.
구체적으로 얼마나 커질까? 자본총계를 x, 주가를 p라고 가정해서 BPS부터 추적해보자. 그러면 자기주식 취득 후의 자본총계는 x-pb가 된다. 따라서 구하려는 BPS'은 이걸 a로 나눈 식이 된다.
여기서 x-pb를 초기 BPS=x/a가 포함된 형태로 바꿔줄 수 있다. x는 BPS×a, p=BPS×PBR을 대입해 주면 자기주식 취득에 따라 변경된 BPS'는 다음 식으로 표현된다.

초기BPS가 맨 앞에 곱해진 형태로 바꾸어주자. 기억해두면 좋을 중간 결론에 다다랐다.

나중에 ROE'를 구할 땐 이 붉은 색 박스를 사용할 것이다. 이 표현은 다음과 같은 형태로도 다시 쓸 수 있다.

자기주식을 취득한 후의 BPS를 나타낸 식은 BPS×(1-alpha)의 형태가 된다.
여기서 alpha가 0보다 크면 BPS'는 (기존 BPS에서) 줄어들게 되며, alpha가 0보다 작으면 BPS'는 커진다는 것을 알 수 있다. 즉, PBR은 언제나 0보다 크기 때문에 BPS'는 늘 기존보다 작아질 수밖에 없다.
이 효과는 EPS'의 증가와 맞물려 EPS'/BPS'에 의해 계산되는 ROE가 커질 것이라는 유추를 '명백하게' 해준다.
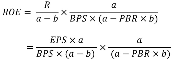
자기주식 취득에 따라 바뀐 BPS'를 ROE' 계산하는 분모에 적용해서 수학적 형태를 확인해 보자. EPS'를 R/(a-b)로 표현해주면 ROE'는

와 같이 쓰여진다. R=(기존)EPS×a로 고쳐쓰고 분모 안에서 곱하는 순서를 다듬어주면 자기주식 취득 후의 ROE'는 다음과 같다.

자기주식 취득 전의 EPS/BPS를 (기존)ROE라고 간단히 바꿔 주자. 우리의 결론이다.

파랗게 표시된 가운데 항은 항상 1보다 큰데, EPS와 BPS의 분모가 달라서 발생하는 factor이며, 일차적으로 자기주식 취득이 ROE를 커지게 하는 역할을 한다.
그리고 세번째 덩어리에서 분모의 PBR은 자기주식 취득으로 인한 ROE의 증가를 boosting하는 기어가 되고 있음을 알 수 있다.
요약하면, 자기주식 취득으로 인한 효과는 기본적으로 EPS를 커지게 하고 BPS를 줄임으로써 ROE를 명백히 증가시키게 된다. 이 과정에서 EPS와 BPS의 분모가 다르기 때문에 유통주식 수의 감소는 기본적으로 ROE를 약간 키운다. 자본총계가 줄어드는 효과는 회사가 자기주식 취득에 지불하는 PBR에 의해 조절되며, BPS'의 분자, 다시 말해 ROE'의 분모를 줄임으로써 자본이익률이 현격히 개선되는 데에 기여한다.
자기주식 취득은 ROE를 증가시킨다.PBR이 클 때 더 효과적이다.
하지만 원래 ROE를 계산할 때는 기초자기자본을 사용한다. 따라서 자기주식 취득은 (기말자기자본을 줄일 뿐 )기초BPS를 전혀 바꾸지 않는다. 이 경우 ROE 증가는 순전히 EPS 증가, 즉 유통주식 수 감소(a-b)에 의해서만 효과가 발현되는 것이다. 그러므로,
오히려 PBR×BPS가 낮을 때 한정된 재원으로 자기주식 취득 규모를 크게 함으로써 ROE의 더 극적인 개선을 기대할 수 있다.
'투자자 > 투자전략' 카테고리의 다른 글
| (거인의어깨 2) 기업분석 체크리스트 정리 (사업 편) (0) | 2023.06.02 |
|---|---|
| 피터린치 뜯어읽기 05 "사실을 수집하라" (확신을 가지려면) (0) | 2022.09.28 |
| ROE-배당성향-PBR이 수익률에 주는 영향에 관한 공식 (0) | 2022.06.12 |
| 피터린치 뜯어읽기 04 "확신이 필요해" (리서치의 중요성) (0) | 2022.05.02 |
| 피터린치 뜯어읽기 03 "성공을 복제하는 기업" (고성장주) (0) | 2022.04.20 |